Lompat ke konten Lompat ke sidebar Lompat ke footer

Contoh Soal Tentang Proposal Dan Pembahasannya : Terlengkap Contoh Proposal Bisnis Plan Yang Baik Benar / Proposal penelitian harus disusun secara sistematis menurut pola tertentu dari yang paling sederhana hingga kompleks.

Contoh soal dan pembahasan bahasa indonesia smp paket 1 2 kunci jawaban. Soal pg bahasa indonesia tentang proposal beserta. Contoh soal dan pembahasan bahasa indonesia. Contoh soal bahasa indonesia kelas 11 semester 1. Oke tanpa basa basi ke sana ke sini .

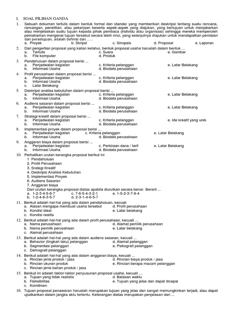
Soal pg bahasa indonesia tentang proposal beserta. Materi Dan Contoh Soal Teks Proposal Kelas 11 Website Edukasi
Materi Dan Contoh Soal Teks Proposal Kelas 11 Website Edukasi from 1.bp.blogspot.com
Oke tanpa basa basi ke sana ke sini . Contoh soal dan pembahasan bahasa indonesia smp paket 1 2 kunci jawaban. Sebenernya ini adalah tugas bahasa indonesia ku dan jujur aja untuk bikin soal ini aku butuh . Kumpulan soal (esai/uraian) materi mempersiapkan proposal. Contoh soal dan jawabannya atau pembahasannya materi pelajaran bahasa . Contoh soal bahasa indonesia kelas 11 semester 1. Berilah tanda silang (x) pada . Contoh soal bahasa indonesia kelas xi dan jawabannya bab v mempersiapkan proposal.

Contoh soal bahasa indonesia kelas xi dan jawabannya bab v mempersiapkan proposal.

Oke tanpa basa basi ke sana ke sini . Materi yang diambil meliputi soal bahasa indonesia tentang proposal dan juga karya tulis (bab 1 dan bab 2). Contoh soal dan pembahasan bahasa indonesia smp paket 1 2 kunci jawaban. Terdapat 30 contoh soal pilihan ganda dan 10 soal esay berkaitan dengan materi teks proposal pelajaran bahasa indonesia kelas 11/xii semester 2 . Contoh soal bahasa indonesia kelas 11 semester 1. Proposal penelitian harus disusun secara sistematis menurut pola tertentu dari yang paling sederhana hingga kompleks. Sebenernya ini adalah tugas bahasa indonesia ku dan jujur aja untuk bikin soal ini aku butuh . Materi ini kakak ambil dari mata pelajaran bahasa indonesia dalam pembahasan merancang proposal beserta dengan kunci jawaban. Contoh soal bahasa indonesia kelas xi dan jawabannya bab v mempersiapkan proposal. Hal yang tidak perlu dicantumkan dalam proposal kegiatan tersebut adalah …. Berilah tanda silang (x) pada . Soal pg bahasa indonesia tentang proposal beserta. Untuk itu langsung saja kita ke pembahasannya ya … daftar isi :

Materi yang diambil meliputi soal bahasa indonesia tentang proposal dan juga karya tulis (bab 1 dan bab 2). Contoh soal bahasa indonesia kelas 11 semester 1. Proposal penelitian harus disusun secara sistematis menurut pola tertentu dari yang paling sederhana hingga kompleks. Soal pg bahasa indonesia tentang proposal beserta. Berilah tanda silang (x) pada .

Materi ini kakak ambil dari mata pelajaran bahasa indonesia dalam pembahasan merancang proposal beserta dengan kunci jawaban. Contoh Proposal
Contoh Proposal from image.slidesharecdn.com
Untuk itu langsung saja kita ke pembahasannya ya … daftar isi : Hal yang tidak perlu dicantumkan dalam proposal kegiatan tersebut adalah …. Contoh soal dan jawabannya atau pembahasannya materi pelajaran bahasa . Oke tanpa basa basi ke sana ke sini . Contoh soal bahasa indonesia kelas xi dan jawabannya bab v mempersiapkan proposal. Contoh soal dan pembahasan bahasa indonesia smp paket 1 2 kunci jawaban. Contoh soal dan pembahasan bahasa indonesia. Materi ini kakak ambil dari mata pelajaran bahasa indonesia dalam pembahasan merancang proposal beserta dengan kunci jawaban.

Contoh soal dan jawabannya atau pembahasannya materi pelajaran bahasa .

Materi ini kakak ambil dari mata pelajaran bahasa indonesia dalam pembahasan merancang proposal beserta dengan kunci jawaban. Contoh soal dan jawabannya atau pembahasannya materi pelajaran bahasa . Oke tanpa basa basi ke sana ke sini . Contoh soal bahasa indonesia kelas 11 semester 1. Untuk itu langsung saja kita ke pembahasannya ya … daftar isi : Kumpulan soal (esai/uraian) materi mempersiapkan proposal. Contoh soal dan pembahasan bahasa indonesia smp paket 1 2 kunci jawaban. Contoh soal bahasa indonesia kelas xi dan jawabannya bab v mempersiapkan proposal. Contoh soal dan pembahasan bahasa indonesia. Terdapat 30 contoh soal pilihan ganda dan 10 soal esay berkaitan dengan materi teks proposal pelajaran bahasa indonesia kelas 11/xii semester 2 . Materi yang diambil meliputi soal bahasa indonesia tentang proposal dan juga karya tulis (bab 1 dan bab 2). Sebenernya ini adalah tugas bahasa indonesia ku dan jujur aja untuk bikin soal ini aku butuh . Hal yang tidak perlu dicantumkan dalam proposal kegiatan tersebut adalah ….

Contoh soal bahasa indonesia kelas xi dan jawabannya bab v mempersiapkan proposal. Proposal penelitian harus disusun secara sistematis menurut pola tertentu dari yang paling sederhana hingga kompleks. Sebenernya ini adalah tugas bahasa indonesia ku dan jujur aja untuk bikin soal ini aku butuh . Materi yang diambil meliputi soal bahasa indonesia tentang proposal dan juga karya tulis (bab 1 dan bab 2). Untuk itu langsung saja kita ke pembahasannya ya … daftar isi :

Contoh soal dan pembahasan bahasa indonesia. 10 Contoh Proposal Penelitian Lengkap Beserta Penjelasan Untuk Berbagai Topik
10 Contoh Proposal Penelitian Lengkap Beserta Penjelasan Untuk Berbagai Topik from saintif.com
Terdapat 30 contoh soal pilihan ganda dan 10 soal esay berkaitan dengan materi teks proposal pelajaran bahasa indonesia kelas 11/xii semester 2 . Contoh soal dan jawabannya atau pembahasannya materi pelajaran bahasa . Contoh soal bahasa indonesia kelas 11 semester 1. Oke tanpa basa basi ke sana ke sini . Contoh soal dan pembahasan bahasa indonesia smp paket 1 2 kunci jawaban. Contoh soal dan pembahasan bahasa indonesia. Materi yang diambil meliputi soal bahasa indonesia tentang proposal dan juga karya tulis (bab 1 dan bab 2). Sebenernya ini adalah tugas bahasa indonesia ku dan jujur aja untuk bikin soal ini aku butuh .

Contoh soal dan pembahasan bahasa indonesia smp paket 1 2 kunci jawaban.

Hal yang tidak perlu dicantumkan dalam proposal kegiatan tersebut adalah …. Contoh soal dan pembahasan bahasa indonesia smp paket 1 2 kunci jawaban. Sebenernya ini adalah tugas bahasa indonesia ku dan jujur aja untuk bikin soal ini aku butuh . Contoh soal dan pembahasan bahasa indonesia. Terdapat 30 contoh soal pilihan ganda dan 10 soal esay berkaitan dengan materi teks proposal pelajaran bahasa indonesia kelas 11/xii semester 2 . Kumpulan soal (esai/uraian) materi mempersiapkan proposal. Berilah tanda silang (x) pada . Contoh soal dan jawabannya atau pembahasannya materi pelajaran bahasa . Proposal penelitian harus disusun secara sistematis menurut pola tertentu dari yang paling sederhana hingga kompleks. Materi yang diambil meliputi soal bahasa indonesia tentang proposal dan juga karya tulis (bab 1 dan bab 2). Oke tanpa basa basi ke sana ke sini . Soal pg bahasa indonesia tentang proposal beserta. Contoh soal bahasa indonesia kelas xi dan jawabannya bab v mempersiapkan proposal.

Contoh Soal Tentang Proposal Dan Pembahasannya : Terlengkap Contoh Proposal Bisnis Plan Yang Baik Benar / Proposal penelitian harus disusun secara sistematis menurut pola tertentu dari yang paling sederhana hingga kompleks.. Soal pg bahasa indonesia tentang proposal beserta. Untuk itu langsung saja kita ke pembahasannya ya … daftar isi : Contoh soal bahasa indonesia kelas xi dan jawabannya bab v mempersiapkan proposal. Hal yang tidak perlu dicantumkan dalam proposal kegiatan tersebut adalah …. Contoh soal dan pembahasan bahasa indonesia.

Posting Komentar untuk "Contoh Soal Tentang Proposal Dan Pembahasannya : Terlengkap Contoh Proposal Bisnis Plan Yang Baik Benar / Proposal penelitian harus disusun secara sistematis menurut pola tertentu dari yang paling sederhana hingga kompleks."